BEST EXPO RUNZ ASSISTANCE WEBSITE. NO.1 BEST DELIVERY OF EXAM RUNZ
100% GUARANTEE OF GETTING ANSWERS MIDNIGHT..IT’S OUR CULTURE, NO DOUBT
===================================
FURTHER MATHS OBJ!
01-10: BCADBECEEC
11-20: ABBDBDCACE
21-30: BCBBEBDBCE
31-40: CACEDACCDC
41-50: BABDCCBBCA
COMPLETED
===================================
PART A: ANSWER ALL QUESTIONS
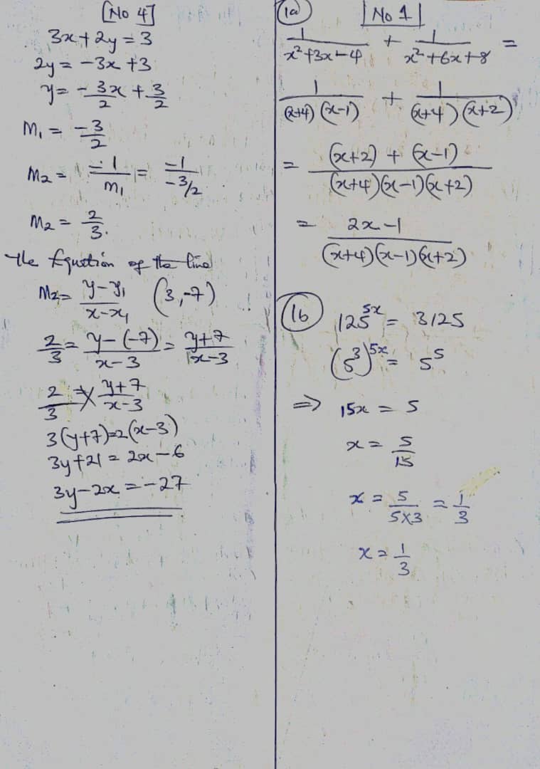
(1)&(4)

===================================
(2)

===================================
(3)

(3)
GRAPH

===================================
(5)

===================================
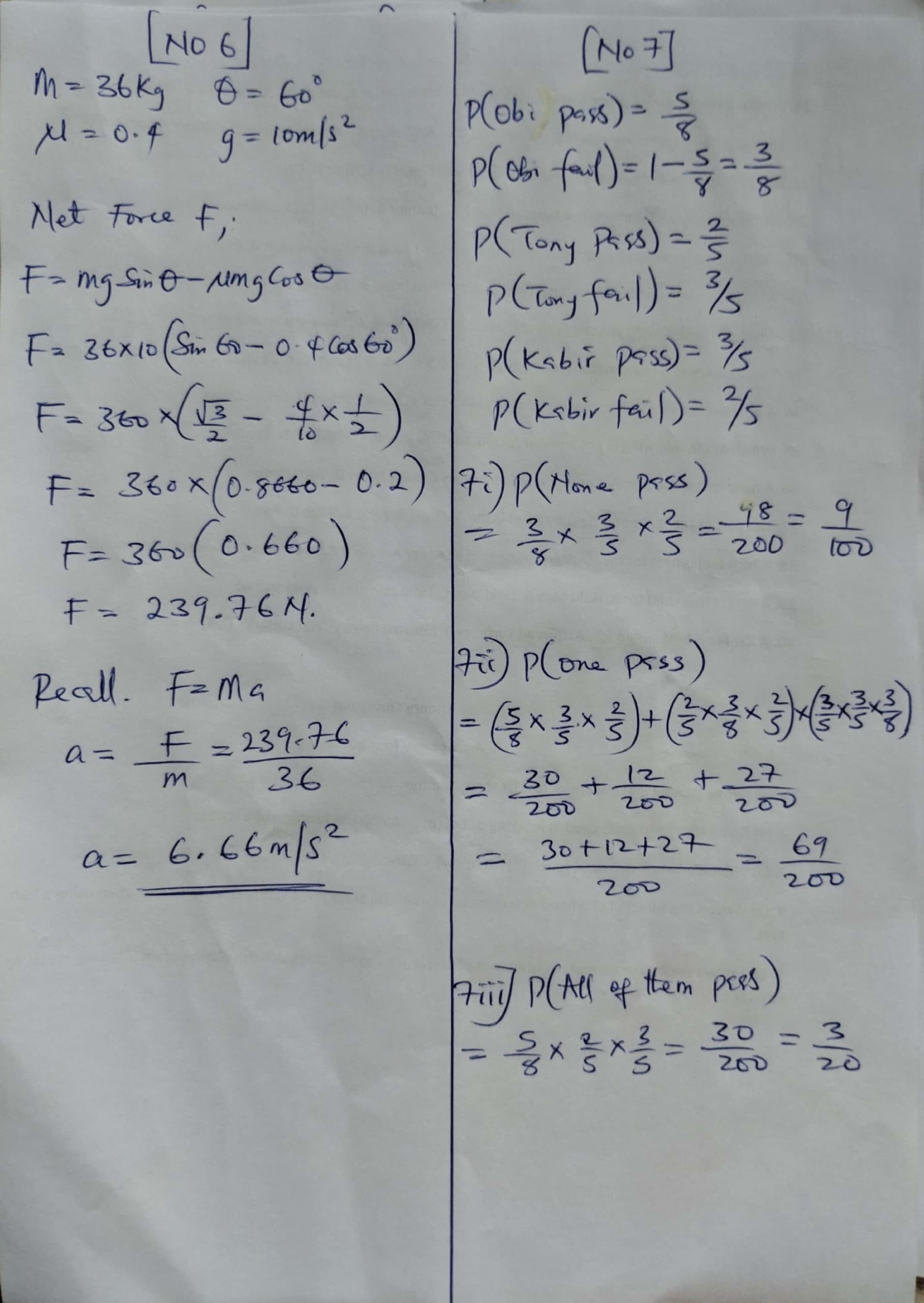
(6)&(7)

===================================
(8)

===================================
PART B
SECTION I: ANSWER TWO(2) QUESTIONS ONLY
(9a)

(9b)

===================================
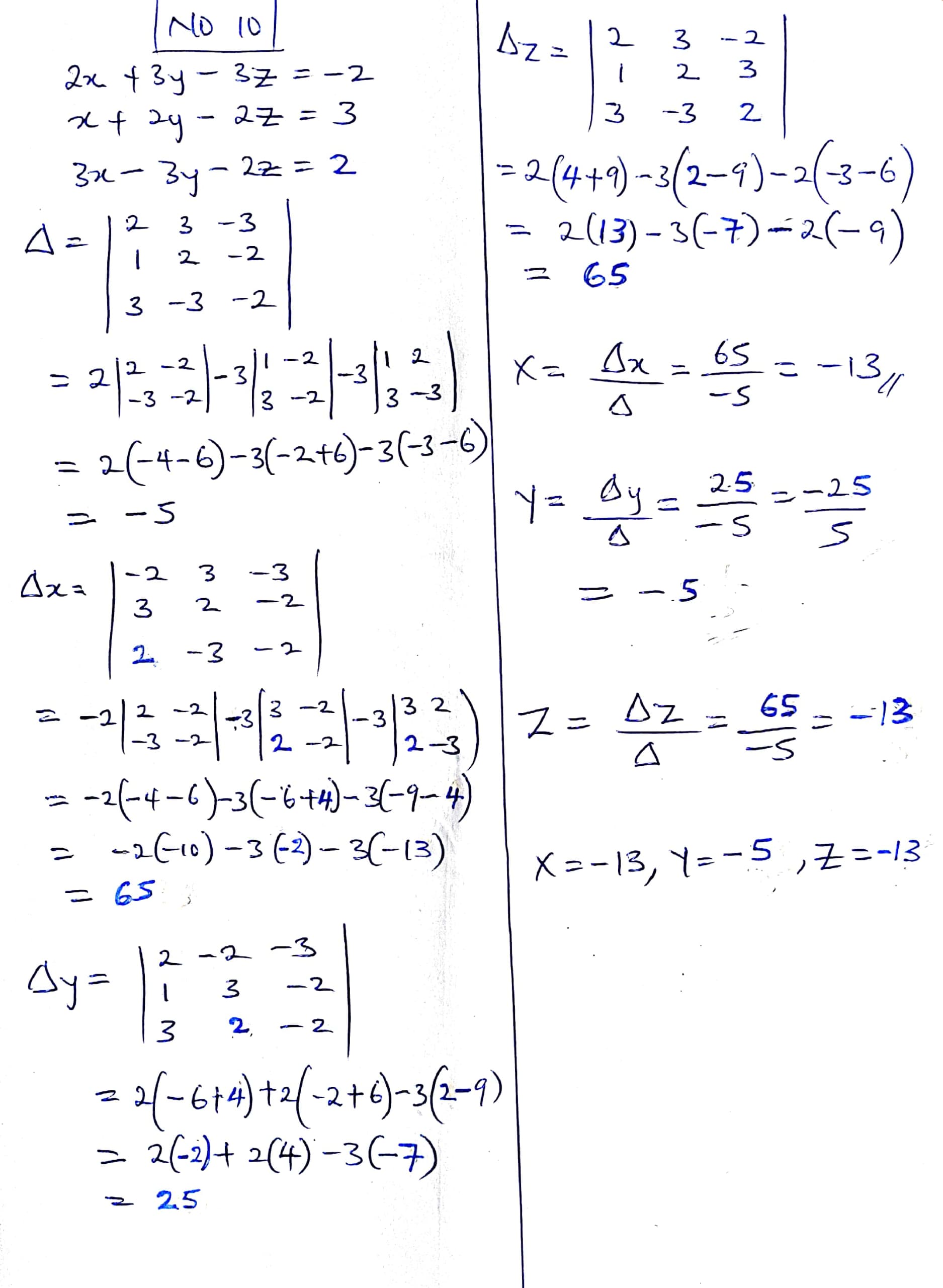
(10)

===================================
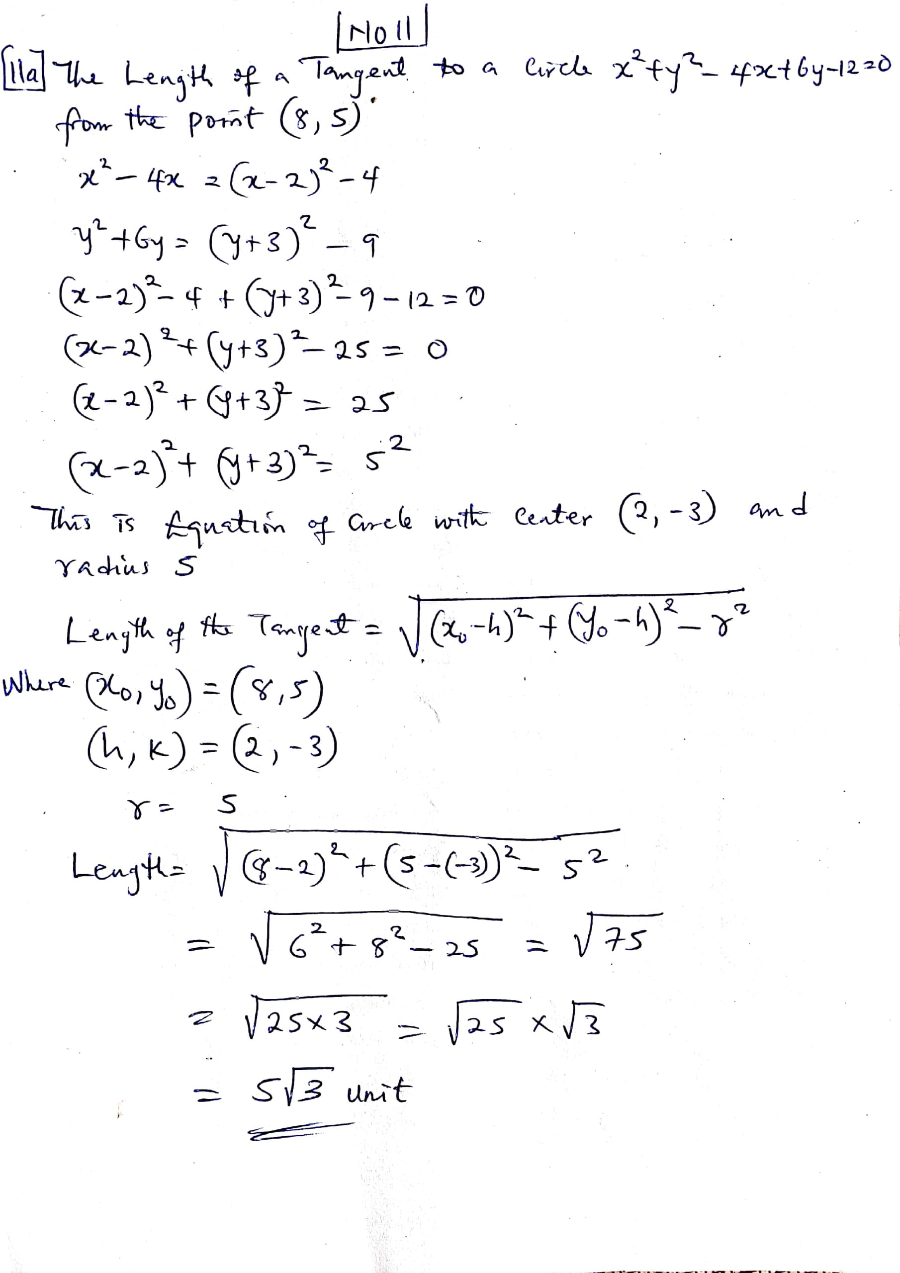
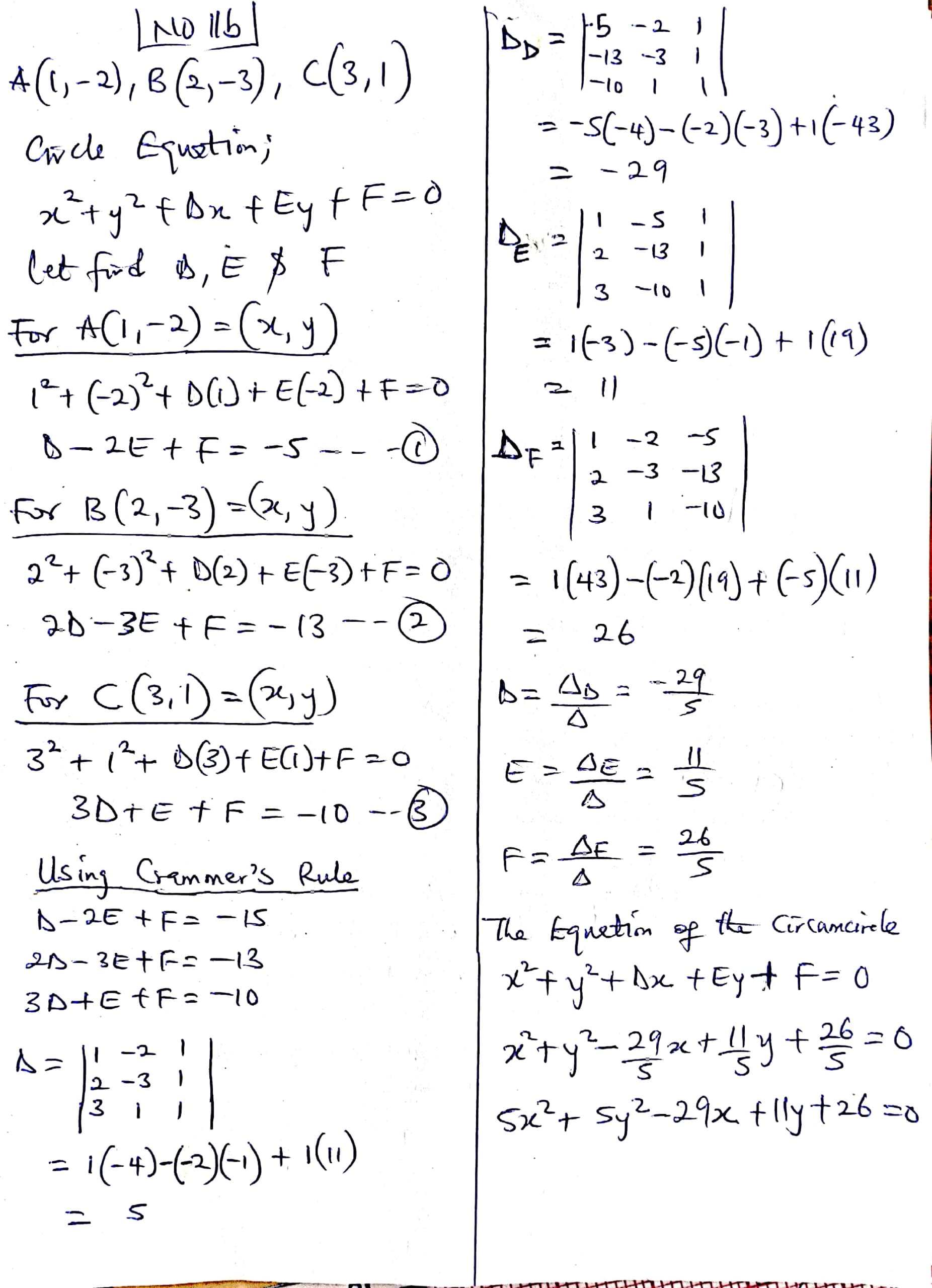
(11a)

(11b)

===================================
SECTION II: ANSWER ONE(1) QUESTIONS ONLY
(12a)

(12b)

===================================
(13)

===================================
SECTION III: ANSWER ONE(1) QUESTIONS ONLY
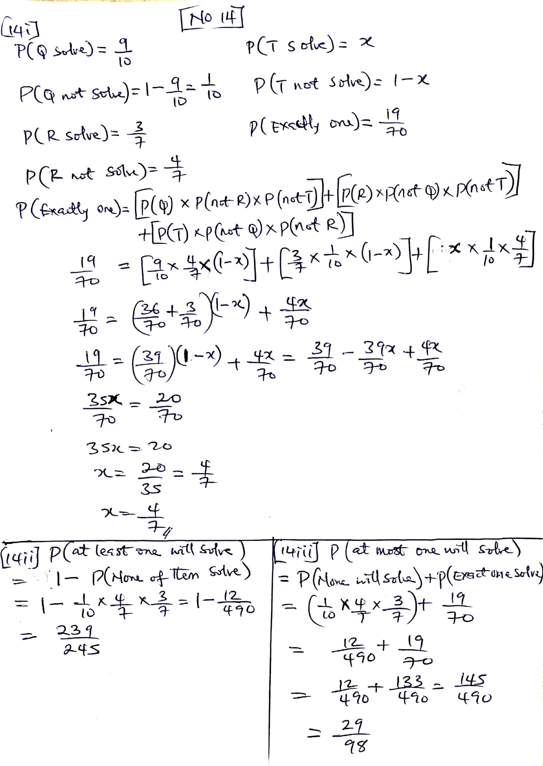
(14)

===================================
(15a)

GRAPH

(15b)

===================================
COMPLETED….We Remain Your Favourite Site.
Ensure You Subscribe For Your Next PaperÂ
===================================
Leave a Reply